Giới thiệu công trình
THỐNG NHẤT HẤP DẪN VÀ ĐIỆN TỪ
của Ling Jun Wang
63B
Vấn đề thống nhất hấp dẫn với nhiều tương tác khác (mạnh yếu điện từ) là công việc lớn của các nhà lý thuyết vật lý . Nhiều lý thuyết TOE (Theory of Everything) đã được đưa ra :LTD (Lý thuyết dây),QLG (Quantum loop gravity)…đã được xây dựng song đều chưa đạt mục đích cuối cùng.
Trong công trình sau đây tác giả Ling Jun Wang tập trung vào hấp dẫn và điện từ và đưa ra quan điểm đáng bàn cãi tuy thế công trình mặt khác chứa nhiều yếu tố lý thú.
ĐIỆN TỪ
Trước hêt hãy xét tương tác điện từ . Sau đây là lực điện từ
(1)
Lực điện từ chính là lực Lorentz , k1 hằng số Coulomb ,q,q’ điện tích , v ,v’ vận tốc của hai hạt.Số hạng thứ hai của phương trình (1) gọi là số hạng động học (dynamic term ) nhỏ hơn số hạng thứ nhất bởi thừa số vv’/c2.
HẤP DẪN
Nếu ta thêm vào định luật Newton một số hạng động học THÌ DẠNG SỐ HẠNG ĐÓ NHƯ THẾ NÀO ?. Ta phải dựa vào trường hợp lực Lorentz của trường hợp điện từ .
(2)
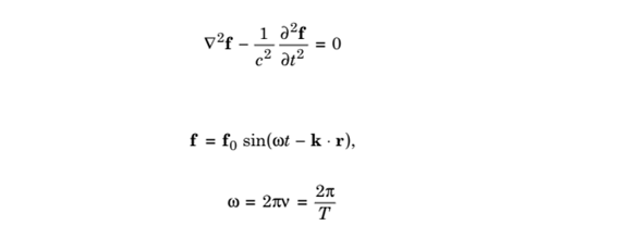
Tác giả đã suy ra phương trình sóng sau
KẾT LUẬN
1 / Các phương trình (1) & (2) nói rằng lực điện từ và hấp dẫn có thể được mô tả bằng những phương trình giống nhau, chỉ khác nhau là phải thay q , k bằng m,G. Như trên ta có thể thấy các phương trình này mô tả đủ các chuyển động của điện từ và hấp dẫn . Từ đó ta thấy rằng sự lan truyền của hấp dẫn không khác gì sự lan truyền của điện từ.
2 / Ta có thêm định luật WANG .Định luật GAUSS nói rằng khối lượng bảo toàn còn WANG nói rằng momentum toàn bộ chuyền cho không gian là bảo toàn .
3 / Hấp dẫn lan truyền cùng tốc độ với điện từ.
4 / Như vậy việc thống nhất hấp dẫn với các tương tác khác xem chừng gặp khó khăn (vì không tìm ra các phương trình tương tự như (1) & (2) )
5 / Nếu ta có thể thống nhất hấp dẫn và điện từ như trên đây thì sử dụng hình học Riemann và topo để làm gì ?
NHẬN XÉT PHẢN BIỆN
Tác giả Wang cho rằng phương trình (2) môt tả được hấp dẫn song dường như phương trình (2) chỉ là một approximation của hấp dẫn dựa trên sự mở rộng định luật Newton mà thôi. Hấp dẫn phải được mô tả đầy đủ bới các phương trình EINSTEIN ( nối liền vật chất với độ cong của không thời gian ), cho nên kết quả này của Wang chỉ phản ánh được một khía cạnh về lực của vấn đề thống nhất.
TÀI LIỆU THAM KHẢO
[1] LING JUN WANG,Unification of gravitational & electromagnetic forces
Fundamental Journal of Modern Physics
ISSN: 2249-9768
Vol. 11, Issue 1, 2018, Pages 29-40
This paper is available online at http://www.frdint.com/




Nhận xét
Đăng nhận xét